文章插图
这里需要做些补充说明 。无论克尔黑洞还是克尔-纽曼黑洞,其事件视界的计算结果都是r为坐标参数无关的确定值,似乎应该是个球面 。可为什么前面给出的图像中,把视界画成南瓜形呢?
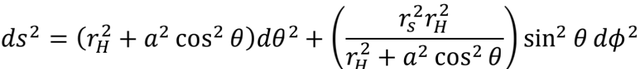
其实这也是时空被扭曲后的一种结果 。如果令r=r,dt=dr=0,也就是固定住时间,并把位置固定在r处,克尔度规的线元表达式就变成了

文章插图
这个表达式显然不具备球对称性 。
不过,我们也不能粗暴地说这就是冒险者眼中“看”到的黑洞,因为牵扯到光线传播路线问题,会使问题更复杂 。我们只能让冒险者闭上眼睛,躲过光线的欺骗,用手去触达实际空间位置 。由于黑洞处的时空严重扭曲,冒险者会发现,最初远处观者交给他的一个球形3维指示图,在黑洞里会变成扁南瓜的样子 。
问题总比答案多
黑洞有关的研究课题实在太多太多了,除了颇受关注的黑洞热力学和信息悖论之外,仅时空几何本身的许多性质,至今都是活跃的研究前沿 。比如奇点对时空因果结构的破坏,就使许多研究者非常不安:既然无法从理论上消灭它,就非常希望它永远藏在事件视界之内,不要暴露在我们可触及的时空之中 。
然而前面在计算r的时候可以看出,如果r或者a足够大,也就是电荷或角动量足够大,那么从数学上确实有可能出现r无解的情况,对应着不存在事件视界的时空结构 。倘若如此,奇点就会裸露在我们面前,这是物理学家们内心非常抗拒的场景 。为此彭罗斯提出了“宇宙监督假说”(Cosmic censorship hypothesis),认为宇宙一定有某种机制来防止裸奇点的出现 。至于这种机制到底是什么,至今也没有特别有力的理论机制 。
另外,自从知道黑洞是个超高能量转换器之后,其自身结构的稳定性,也成了物理学家们担忧的问题 。就像生产火药的车间更容易发生爆炸一样,一个进入黑洞的粒子也许会因为偶发的衰变而获得巨大的能量,这些能量也许会使粒子自己原地变身成一个小黑洞 。如果真有这种过程出现,这个小黑洞也许就会对大黑洞的时空结构造成不可逆转的破坏,甚至导致大黑洞整体结构的彻底崩溃 。
对克尔黑洞自身结构稳定性的研究是个非常艰深的课题,自1963年至今近60年时间里进展一直比较缓慢 。2022年5月,哥伦比亚大学和普林斯顿大学的几位研究者在一篇长达912页的论文中,终于从数学上给出了a<<r条件下克尔黑洞的稳定性证明 。这篇论文的证明过程还用到了几位研究者在过去几年中陆续得到的二十几条引理,如果把先前铺垫引理的论文算在一起,总共有2100页之多!足见这一问题在数学上的复杂程度 。
尽管与黑洞相关的课题都是如此难啃的硬骨头,但同时这些问题也都关乎我们这个宇宙最基本的规律和法则 。对这些问题的深入研究,即使无法立刻得到明确答案,也会成为“下金蛋的母鸡”,我们会创造更丰富的工具并不断刷新我们的认知 。
文献
[1]arXiv:2205.14808 [math.AP]
【黑洞内部的时空结构】
推荐阅读
- 离婚两个孩子的抚养权怎么争取
- 类似铳皇无尽的法夫纳的动漫
- 青铜器本来的颜色是绿色吗为什么
- 口罩戴反了会有影响吗
- 2021年高考出分到填志愿有几天
- 什么是abo设定
- 文件夹如何取消分组,关于电脑的文件夹显示分组问题
- 绝地求生怎么打字
- dnf公会满属性是多少,dnf公会属性只加120吗
