空间维变成时间维
说回物理,我们来看看冒险者穿过视界进入黑洞内部之后的情景 。也许有人会提出质疑:冒险者在视界处已经达到了时间膨胀的极限,远处的观者即使等到地老天荒宇宙毁灭也无法等来冒险者穿过视界的时刻呀?
小啦,格局小啦 。
虽然远处的观者在自己所体验的时间里等不到,但不代表冒险者无法到达 。事实上,按照冒险者自己所体验的时间,他完全可以在有限时间内到达并顺利穿过视界 。当然他最好有非常坚硬的铠甲和非常微小的身躯,以免被潮汐力扯碎 。
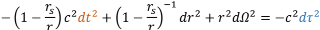
当r<r时,冒险者就进入了单向区,我们来看看这里的时间与空间是如何互换的 。

文章插图
此时

文章插图
仍然成立 。
为了使冒险者感受到的时间dτ是实数,等号左边也必须是负数,而r<r时

文章插图
只能依靠

文章插图
这项的贡献 。
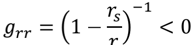
也就是说,进入视界之后的冒险者,根本无法再悬停在任何地方,他必须不断靠近黑洞中心,才能感受到时间的流逝 。或者干脆说,在远处观者参照系中的空间维度r,与冒险者参照系中的时间维度τ,建立起了奇妙的对应关系 。对冒险者来说,r不再是个能来回移动的空间维度,而是变成了时间一样的单向维度 。
RN度规和克尔度规
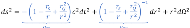
通过前面对史瓦西度规的了解,我们发现原来黑洞的视界就出现在度规的某个分量为零或者发散的地方 。依照这个经验,识别其他类型黑洞的视界,自然也可以手到擒来 。仅带电,不自转的RN度规是这样的:

文章插图
其中

文章插图
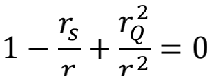
确定视界的位置非常简单,只需要解个小方程

文章插图
就得到

文章插图
这就是RN黑洞的内外两个视界 。
当r<r<r时,也就是两层视界之间的部分,g>0,g<0,就出现了空间维r变成单向维度的情形 。而在r<r的区域,g<0,g>0,时间维和空间维重新回到普通的样子 。
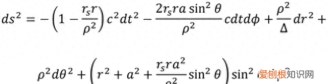
能够坚持读到这里的读者,估计此时会产生一种幻觉——什么神秘兮兮的时空弯曲,原来也就不过如此嘛!好吧,那让我们再来看看不带电,仅带有自转角动量J的克尔度规 。

文章插图
其中

文章插图
显然,这个度规所刻画的时空结构远比史瓦西度规和RN度规复杂得多,所以也经历了更长的时间才被计算出来 。史瓦西度规早在1915年就被发现,RN度规也在1916~1918年间被发现,而克尔度规的精确解却要等到1963年 。
克尔度规不仅复杂而且重要,因为宇宙中的天体都或多或少具有自转角动量,只有克尔度规才能更准确地反映这些天体的运动和演化 。相较而言,史瓦西度规和RN度规就显得过于简化,甚至遗漏掉了许多真实宇宙中的有趣内容 。
推荐阅读
- 离婚两个孩子的抚养权怎么争取
- 类似铳皇无尽的法夫纳的动漫
- 青铜器本来的颜色是绿色吗为什么
- 口罩戴反了会有影响吗
- 2021年高考出分到填志愿有几天
- 什么是abo设定
- 文件夹如何取消分组,关于电脑的文件夹显示分组问题
- 绝地求生怎么打字
- dnf公会满属性是多少,dnf公会属性只加120吗
