
文章插图
桌球打的好不好,有的人全看命运,信奉“大力出奇迹” 。

文章插图

文章插图
有的人则全凭手感,认为通过不断练习,自然能掌握那些奇妙的击球角度,并达到炉火纯青的地步 。

文章插图

文章插图
你知道我有多努力吗
但其实,桌球游戏的击球方式、运动轨迹都包含着丰富的数学和物理知识 。这些知识操控着桌球的走势,掌握了这些理论知识,你也可以成为一名桌球游戏大师 。
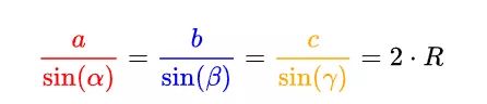
必备知识1:正弦定理

文章插图

文章插图
如果我们将图中的A点看作白球,B点看作目标球,C点看作球洞的话,要怎样操作才能达到进球的效果呢?这时候理解正弦定理可以帮助你找到最佳的进球方案 。正弦定理公式如下所示:

文章插图

文章插图
在这个公式中,R为平面三角形ABC外接圆的半径 。
必备知识2:余弦定理
同样在上图中的任意三角形中,合理利用余弦定理公式,也能帮助你找到用白球A将球B击入球洞C点的最佳方案 。
余弦定理如下所示:

文章插图

文章插图
必备知识3:反射定理

文章插图

文章插图
如上图所示,红色为球初始运动线,蓝色为球反射线,灰色矩形可看作球台边库,紫色中线为分界面中间的法向量,则可以得出如下假设图形:

文章插图

文章插图
通过这个反射图形假设,我们可以更好的想象球撞库后的运动轨迹 。
必备知识4:碰撞原理
①正面碰撞(完全弹性)
两物体碰撞之后系统的动能和动量守恒,没有额外的能量转换 。
【独家秘籍教你一杆清台 台球的基本知识与打法】结论为:当两球质量相等时,进行完全弹性的理想正面碰撞后,两球的速度会发生交换 。
②正面碰撞(完全非弹性)非弹性碰撞指的是,发生碰撞前后物体的动能有一部分转化为了内能,而完全非弹性指的是尽可能最大化地将动能转化为内能,也就是两个物体共同以一个速度运动 。
③实际碰撞实际碰撞是混合完全弹性和完全非弹性两种情况的碰撞 。如果定义完全弹性正碰之后两球速度为V1,1,V2,1;正碰之前两球速度为V1,0,V2,0,台球所用树脂材料的恢复系数为k(好材料的恢复系数k≈1),则有:

文章插图

文章插图
当k=0时为完全非弹性碰撞,当k=1时,为完全弹性碰撞 。对于一个实际碰撞问题来说,两球碰撞后速度和内能转化,都可以用k来表示,具体表示为:
推荐阅读
- 取环什么时候取最好?来听听专家怎么说
- 12333劳动局电话24小时吗?大多数地区是24小时人工服务
- 让你在努力工作之余也能笑开怀 10部让人笑成傻子的电影
- 很简单,只需要这样操作 手机屏幕变成黑白屏怎么办
- 看这里就知道了 坐飞机不能带什么东西和注意事项
- 美国公民申请子女移民 绿卡和国籍的区别
- 考试答题基本要求 考试应注意些什么问题
- 咸鸭蛋冷水下锅煮几分钟 咸鸭蛋煮多久能熟
- 凯越321R和升仕GK350如何选,售价多少?
