
文章插图

文章插图
此外还包括像矢量分解;二维碰撞的一般情况和特殊情况;刚体动力学;转动惯性与旋转能量:匀质球的转动惯性,刚体定轴转动定律;摩擦力:静摩擦、滑动摩擦与滚动摩擦力等一系列必备知识点……
瞄准技术
熬过了漫长又枯燥的基础理论知识,想必你一定是一个有耐心又有毅力的桌球游戏爱好者,同时也具备了学习更多技能的理论基础 。那么要想在实战中掌握如何击球的秘诀,瞄准技术便是接下来要学习的主要内容 。相信大家明白一个道理,当我们观察一个物体时,物体离我们越近,那么它就会显得大一些,如果离我们越远,看起来就会显得小一些,事实上,物体的实际大小没有改变,这就是所谓的视觉效应 。视觉效应会影响我们对母球大小的判断,从而影响我们瞄准的角度 。

文章插图

文章插图
所以当我们近距离瞄准时会主观觉得球显得很大,而远一点则显得很小 。
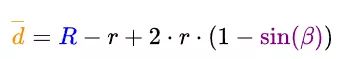
那么还有两个问题需要我们讨论:首先,母球变大对击球薄厚的影响;其次,母球球心与进球点之间、目标球球心之间的距离会使母球看起来变大多少?首先我们母球变大后击球薄厚影响作如下解释,如上图所示,两球最大重合厚度为d[上划线],其中灰色大圆为母球变大后大小,小圆为母球原本大小,红色为目标球大小,灰色小圆和红色圆最大重合半径为,则有:

文章插图

文章插图

文章插图

文章插图

文章插图

文章插图
第二个问题关于母球与各个球心之间距离则有如下解释,如上图所示,D代表母球与进球点之间的距离,母球球心与目标球心之间距离D0,角度α,β,则可得出各变量之间关系为:
走位技术
最后我们来聊聊大家最感兴趣的话题,也是桌球游戏的进阶技能——走位技术 。走位技术就是通过击打母球的不同位置来控制母球的运动轨迹 。

文章插图

文章插图
0:中杆/定杆,理想情况下,母球不加任何旋转,只会滑动 。
1:高杆/跟杆/上旋球,母球旋转向前,碰撞后有跟随效果 。
2:低杆/缩杆/下旋球,母球旋转向后,碰撞后向后行进 。
3&4:边塞,3,4分别代表左右,出杆后母球分别向右向左旋转,可改变母球碰库后的反弹角度 。
5:左上塞,效果是高杆和左塞的叠加 。
6:右上塞,效果是高杆和右塞的叠加 。
7:左下塞,效果是低杆和左塞的叠加 。
8:右下塞,效果是低杆和右塞的叠加 。
A:斯登跟进,母球击中目标后跟进的距离比高杆跟进的距离要短 。
C:斯登后退,母球击中目标后后退的距离比低杆后退的距离要短 。
B&D:斯登塞,母球击中目标后改变运动方向 。
通过击打母球的上述位置可以达到相应的母球运动效果 。学了这么多高端知识和公式,“大力出奇迹”的旧观念就赶快抛弃吧,很多人总是保持相同的力度击球,这样是不可取的,击球的力度应该随着不同情况而随时改变,这个需要长久的练习,才能精确掌握不同角度下应该采用的出杆力度 。以上就是本次桌球游戏相关的公式和技术讲解了,各位桌球爱好者们,牢记公式,勤加练习,“一杆清台”不是梦!
推荐阅读
- 取环什么时候取最好?来听听专家怎么说
- 12333劳动局电话24小时吗?大多数地区是24小时人工服务
- 让你在努力工作之余也能笑开怀 10部让人笑成傻子的电影
- 很简单,只需要这样操作 手机屏幕变成黑白屏怎么办
- 看这里就知道了 坐飞机不能带什么东西和注意事项
- 美国公民申请子女移民 绿卡和国籍的区别
- 考试答题基本要求 考试应注意些什么问题
- 咸鸭蛋冷水下锅煮几分钟 咸鸭蛋煮多久能熟
- 凯越321R和升仕GK350如何选,售价多少?
