
文章插图
高中化学:50例化学疑难问题详解,考试别再丢分啦~
更多初中、高中知识,可以在物理大师app中查看,获取哦~
1.为什么AlCl3是共价化合物?
【答】金属元素与非金属元素形成的化合物通常是离子化合物,如NaCl、K2S等,但AlCl3是共价化合物 。AlCl3的熔点192.4℃(2.5个大气压),沸点为177.8℃(沸点比熔点低是因为测定AlCl3熔点需加压,因而使得熔点升高) 。AlCl3在熔融态、气态和非极性溶剂中均以二聚体Al2Cl6的形式存在 。(如图所示)

文章插图
这是因为三价铝离子的半径过小,电荷密度高,导致了阴离子的变形,使离子型向共价型移动 。Al是缺电子原子,有空的p轨道,Cl原子有孤对电子,两个AlCl3分子间能发生Cl→Al的电子授予和接受作用,形成氯桥配合物 。
其实,除碱金属、碱土金属(Li、Be除外)之外,大多数的氯化物、溴化物和碘化物,如BeCl2、HgCl2、SnCl4、FeCl3、BiCl3等以及相应的溴化物、碘化物等均为共价化合物,但AlF3(熔点1040℃,沸点1260℃,熔融状态时能导电)MgF2(熔点1250℃,沸点2260℃,熔融状态时能导电)等为离子型化合物 。
2.为什么臭氧(O3)是极性分子?
【答】单质分子中的共价键并非都是非极性键,单质分子也并非都是都是非极性分子,根据杂化理论,臭氧(O3)分子的价键结构如图所示 。

文章插图

文章插图
根据杂化轨道理论,O3分子中除O原子间均存在δ键外,在三个O原子之间还存在一种4个电子的离域大∏键,大∏键是由sp3杂化的中心O原子上未杂化的两个电子占据的的p轨道和两个端基O原子的单电子占据的p轨道从侧面重叠而形成的 。可见,中心O原子在形成大∏键时多拿出一个电子(即提供两个电子) 。由于大∏键的电子云是趋向平均化的,平均化后就相当于中心O原子失去部分负电荷,端基O原子得到部分负电荷,因而O3中的O-O键是极性的,又由于O3分子为角形分子,两个O-O键的极性不能相互抵消,所以O3分子为极性分子 。臭氧的沸点为160.60K,远远高于O2的沸点90K;标准状况下,臭氧在水的溶解度为氧气的10倍,这些均与臭氧分子的极性有关 。
3.碳酸氢钠固体分解温度在200摄氏度以上,那么碳酸氢钠溶液中能分解吗?
【答】碳酸氢钠在有水的情况下更容易分解,50多摄氏度就可以完全分解 。
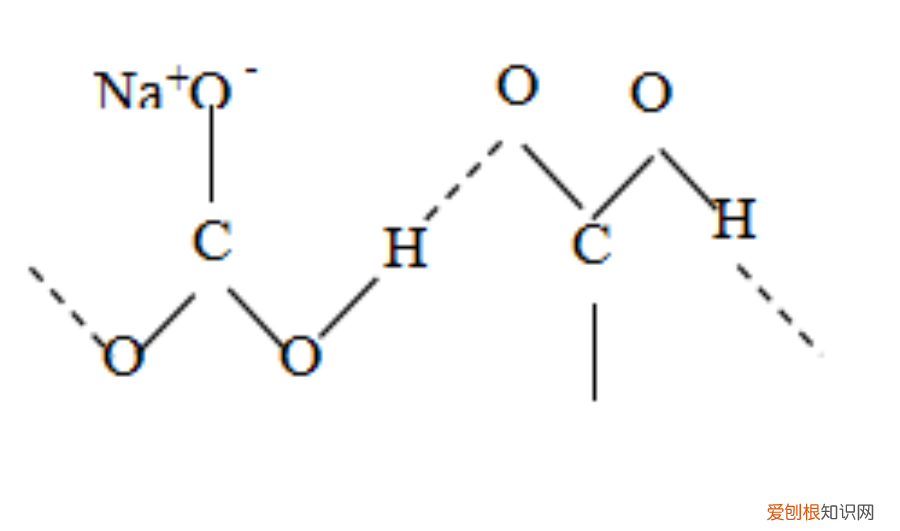
4.为什么NaHCO3的溶解度比Na2CO3的小?
【答】一般来说,碳酸酸式盐的溶解度大于碳酸正盐,但NaHCO3的溶解度比Na2CO3的小,这是因为,氢键不仅存在于共价化合物中,也存在于某些离子晶体中 。在NaHCO3的水溶液中,溶质之间形成氢键如图所示,使分子间发生了缔合作用,从而降低了溶解度 。类似的还有钾、铵的碳酸氢盐的溶解度反常地低于其对应的正盐 。

文章插图
5.为什么可以用焓变(△H)表示化学反应的反应热?
【答】化学反应一般在敞口容器中进行,即在恒压(101Kpa)条件下进行,此时的热效应称为恒压热效应 。
根据热力学第一定律,体系的热力学能(U,也称为内能)的变化等于以功和热的形式传递的能量 。△H=Q+W
式中 。Q表示热量,若热量由环境流入体系,则Q为正值,反之则Q为负值;W表示功,若环境对体系做功,W为正值,反之W为负值 。
在恒压条件下,△U=Qp+W=Qp—p(V2—V1),即恒压热效应Qp=△U+p(V2—V1) 。其中p为压强,V为体积 。
焓(H)是一个状态函数,热力学规定H=U+pV 。在恒压条件下,焓变△H=U2+pV2—U1—pV1=U2—U1+p(V2—V1)=△U+p(V2—V1)=Qp
由此可见,焓变△H与恒压热效应Qp相等,因此,可以用焓变表示化学反应的反应热 。
6.盐桥的作用是什么?
【答】单液的原电池由于液面接界电势高,电池效率低,为了提高电池效率,使用通过盐桥将两个半电池相连而构成的原电池 。将两种电解质溶液通过盐桥相连,使电解质溶液不直接接触,降低了液面接界电势,由于盐桥中也装有电解质溶液,,可以起到导电的作用 。盐桥中的电解质溶液要求浓度较高,且阴、阳离子迁移速率应差不多,一般用含饱和氯化钾溶液的琼脂 。盐桥的作用:连接内电路,形成闭合回路;平衡电荷 。
7.屏蔽效应、钻穿效应和能级交错现象?
【答】对于氢原子,核外只含有一个电子,这个电子仅受到原子核的作用,不受其他电子的作用 。多电子原子中,每一个电子不仅受到原子核的吸引,而且还受到其他电子的排斥 。在考虑某个电子时,可以把其他电子对其排斥作用看作削弱了原子核对它的吸引作用,这种由于其他电子的排斥而使原子核对某个电子吸引作用的减弱称为屏蔽效应 。
电子层数越小的电子在离原子核越近的地方出现几率越大,但在同一电子层中不同轨道上的电子钻到离原子内层的能力不同,其钻穿能力的大小依次为ns、np、nd、nf 。也就是说,s电子钻穿到内层的能力要比p、d、f电子大,电子钻穿内层的程度越大,受到原子核的吸引作用越大,内层电子对它的屏蔽作用越小 。这种外层电子钻到内层的作用叫做钻穿效应 。
由于4s电子的钻穿效应较大,而3d电子的屏蔽效应越大,使得3d电子的能量略高于4s,即第三层d轨道上的电子,其能量要比第四层s轨道上电子的能量高,这种现象称为能级交错现象 。同理,能级交错现象如能量6s<4f<5d<6p 。
8.碱土金属碳酸盐的热稳定性规律?
【答】碱土金属碳酸盐的热稳定性规律,一般认为,含氧酸盐热分解的本质是金属离子争夺含氧酸根中的氧离子 。也可以用离子极化的观点解释因此金属离子的半径越小,正电荷越高,极化作用越强,夺取含氧酸氧离子的能力越强,含氧酸盐的热分解温度越低 。从Be-Ba,碱土金属离子的半径递增,极化作用递减,故热分解温度依次升高 。(金属离子极化作用增强,化合物稳定性下降,热分解彻底 。例如金属硝酸盐的分解规律)
不同碳酸盐的热稳定性差异很大 。其中碱金属和碱土金属碳酸盐的热稳定性较高,必须灼烧至高温才分解;而有些金属的碳酸盐的热稳性较低,加热到100℃左右就分解,如碳酸铍等;有的碳酸盐在常温下就可以分解,如碳酸汞 。
酸式碳酸盐的热稳定性比相同金属的碳酸盐低得多 。例如碳酸钠,要851℃以上才开始分解,而碳酸氢钠在270℃左右就明显分解 。
分解温度:M2CO3>MHCO3>H2CO3,因为H+的极化作用非常强 。
9.为什么NaCl、MgCl2、AlCl3的熔沸点依次降低?
【答】按照一般规律:离子半径越小,粒子的电荷越多,则离子键越强,离子化合物的熔沸点就越高 。Na+、Mg2+、Al3+的离子半径依次减小,电荷数依次增多,但NaCl、MgCl2、AlCl3的熔点却依次降低,分别为801℃、714℃、192.4℃;沸点也依次降低,依次为1443℃、1000℃、177.8℃ 。究其原因,也可用离子极化理论来解释:离子的半径越小、电荷数越多,则离子产生的电场强度就越大,其极化能力就越强,使得离子发生变形而产生电子云重叠的程度就越大,键的极性减弱,晶体的类型也就相应地由典型的离子晶体(如NaCl)经过渡型晶体(如MgCl2、AlCl3的层状晶体)转变为分子晶体,因而NaCl、MgCl2、AlCl3的熔沸点依次降低 。
10.为什么过渡型晶体(混合型晶体)能导电?
【答】晶体除了离子晶体、原子晶体、分子晶体和金属晶体外,还有一种过渡型晶体 。例如石墨的晶体就是层状结构,每一层内的每个碳原子以3个共价键与另外3个碳原子相连,6个碳原子在同一平面内连接成正六元环形的蜂窝式平面网状结构在同一个平面的碳原子还剩下一个p轨道,它们相互重叠,此p轨道中的一个电子可以在层内移动 。石墨晶体中层与层之间的距离较大,层与层之间以微弱的范德华力结合 。由于石墨晶体中同一层内是平面网状结构,碳原子与碳原子之间以共价键结合,共价键的键能很大,极难破坏,所以石墨的熔点很高,化学性质也很稳定 。由于同一层内还有一个p电子可在层内自由移动,类似金属的自由电子,所以石墨能导电和导热 。但电子只能在层内移动,而难以在层间流动,因而沿层状状方向的导电性优良,而垂直方向的导电性却很差,两个方向的导电性相差近万倍 。由于层与层之间仅以微弱的范德华力结合,所以石墨片层之间容易滑动 。属于过渡型晶体的还有层状结构的黑磷和线状或片状的硅酸盐(天然硅酸盐云母是一种片状晶体)等 。

文章插图

文章插图

文章插图
11. 化学实验中,为什么不能将 Na2Cr2O7溶液加到浓硫酸中?
【答】浓硫酸溶于水放出大量的热,因为浓硫酸的密度大,易造成溶液飞溅伤人 。
12.铝为什么能在空气中稳定存在?各种铝制品为什么都可以较长时间使用?
【答】因为Al很活泼,容易被空气中的氧气氧化为Al2O3,在铝表面上形成一层致密的氧化铝薄膜,阻止内部铝不再继续被氧化,所以铝能在空气中稳定存在 。人们常用的铝制品也正是由于这层膜了保护内部金属,使铝具有一定的抗腐蚀能力,故可以较长时间使用 。
13.用砂纸打磨过的或未打磨过的铝箔,用酒精灯加热,为什么会出现熔而不滴、滴而不落的现象?
【答】这是由于磨去氧化膜的铝在空气中加热又会很快地生成一层新的氧化膜的缘故 。
14.为什么将铝粉撒到酒精灯的火焰上,可观察到剧烈燃烧并发出强光?
【答】因为铝粉表面积大于铝箔,与氧气的接触面积增大,反应迅速且剧烈,放出的热量更多,更易于燃烧而发出耀眼的强光 。如果使用乙炔焰或氢氧焰与铝箔反应,由于乙炔焰或氢氧焰的温度可高达3000℃,乙炔焰或氢氧焰可以破坏铝表面的氧化铝保护膜,用氧炔焰或氢氧焰在空气中加热铝箔能快速燃烧 。所以要使铝在空气中燃烧,可以采取增大铝与空气的接触面积或提高反应的温度等措施 。
15.为什么钠先与盐酸反应而与硫酸铜溶液先与水反应?
【答】盐酸中的氢离子实际上是水合氢离子,即H3O+离子,所以盐酸中的氢离子和水中的氢离子是一样的 。由于盐酸完全电离,而水是一种很弱的电解质部分电离出氢离子,从效果上看可以理解成盐酸先反应,待盐酸反应完,钠继续与水反应;铜离子的氧化性比氢离子强,按反应先后钠应该先与铜离子发生置换反应,钠过量才能与水中的氢离子反应,但事实上,钠投入到硫酸铜溶液中,钠先与水发生置换反应,生成的氢氧化钠再与硫酸铜溶液发生复分解反应生成氢氧化铜沉淀 。其原因还是铜离子的存在形式还是Cu(H2O)n2+水合离子,Cu2+周围都是水分子,Na根本接触不到Cu2+就反应掉了,而水电离的氢离子却先接触到钠原子,钠就先和水反应了,如果在水溶液中铜离子浓度较大时,除了产生氢气外也可以观察到铜离子被还原为暗红色的泥状铜单质 。注意:室温下Na与无水CuSO4不能发生反应,但在加热条件下,能够置换出铜单质 。实验时要控制钠的用量,否则会发生剧烈爆炸,其次要避免氧气将反应物和产物氧化变质 。
16.为什么金属铝能与较高浓度的氨水发生反应?
【答】铝在碱性比较强的水溶液中能和水持续作用一段时间产生氢气 。碱性比较强的水溶液中有一定浓度的氢氧根离子,它能溶解铝和水作用时在表面生成的氢氧化铝,使之转化为偏铝酸根离子,使铝和水的反应能持续进行,直至碱性减弱到一定程度,氢氧化铝不再溶解,反应才停止 。
17.氨水和铝盐溶液作用生成氢氧化铝,为什么氢氧化铝不能溶解于过量氨水?
【答】氢氧化铝转化为偏铝酸根离子需要一定的碱性条件,由于反应混合物中含有较高浓度的铵根离子,抑制了加入过量氨水的电离,使溶液中的氢氧根离子浓度难以达到氢氧化铝溶解的要求 。
18.实验室加热液体时为了防止暴沸,可以加入什么材料?
【答】暴沸指纯净的液体缺少汽化核心,加热超过沸点仍不沸腾的热滞后现象,加一点杂质后(本质是带入了微小气泡),沸腾滞后被打破,产生沸腾 。液体中的气泡在沸腾过程中起着汽化核的作用,当液体中缺少气泡时,即使温度达到并超过了沸点,也不会沸腾,形成了过热液体 。过热液体是不稳定的,如果过热液体的外部环境温度突然急剧下降或侵入气泡,则会形成剧烈的沸腾,并伴有爆裂声,这种现象叫暴沸 。为避免容器的暴沸,可在容器中放含有空气的无釉陶块等 。为了清除在蒸馏过程中的过热现象和保证沸腾的平稳状态,常加碎瓷片、沸石、或一端封口的毛细管,因为它们都能防止加热时的暴沸现象 。值得注意的是,不能在液体沸腾时,加入止暴剂,不能用已使用过的止暴剂 。简单说就是因为加热时烧杯中的液体会向上冲,从而造成了一个个冒出来的“喷泉”,剧烈时甚至会溅出伤人,而碎瓷片、沸石等能够有效的阻止液体的向上冲,使加热时液体能够保持平稳 。使用电磁搅拌(搅拌起到混合溶液,减小热不均衡)也能起相同的作用 。
19.为了防止贮存液氯的钢瓶被腐蚀,钢瓶在装氯气之前必须做什么?
【答】钢瓶内壁必须彻底干燥,因为液氯与水反应生成酸要腐蚀钢瓶 。
20.在新制的硝酸亚铁溶液中,滴入少量的浓盐酸,为什么观察到溶液变黄色?
【答】在硝酸亚铁溶液中加入浓盐酸发生两种变化:①溶液中存在水解平衡:Fe2++2H2OFe(OH)2+2H+,加入盐酸,使溶液中氢离子浓度增大,平衡左移,使溶液中亚铁离子的浓度增大,表现为浅绿色加深;②溶液中同时有较多的氢离子和硝酸根离子,硝酸具有较强氧化性,即发生反应:3Fe2++4H++NO3-=NO↑+3Fe3++2H2O,生成了Fe3+表现为黄色 。由于主要反应是第②种情况,最后反应现象为溶液变黄色,同时有NO气体产生,遇空气会变为红棕色 。
21.溴乙烷水解后,如果溴乙烷过量溶液分层后乙醇会在哪一层?
【答】乙醇与水互溶,乙醇与溴乙烷也互溶,溴乙烷不溶于水 。这时乙醇在水和溴乙烷中会以一个固定的比例溶解(按溶解性大小溶解) 。
22.制氢氧化铁胶体时为什么一定要用饱和氯化铁溶液?
【答】制氢氧化铁胶体利用的是氯化铁水解反应:FeCl3+3H2O=Fe(OH)3(胶体)+3HCl,这是一个可逆反应,选用饱和溶液的目的是增加铁离子的浓度,有利于平衡向右移动,这样更有利于氢氧化铁胶体的制备,可以生成较多的胶体 。如果用稀溶液会导致生成的胶体很少 。
23.纯锌片和稀硫酸反应较慢,为什么将锌片一角在硫酸铜溶液中浸一下,反应速率明显加快?
【答】锌片的一角在硫酸铜溶液中浸一下,发生置换反应,生成硫酸锌和铜单质,此时,金属片上是锌、铜单质的混合物,可以形成原电池,原电池可以加快反应的速率 。
24.用金属钠制取氧化钠常用NaNO2与Na反应,为什么不用Na在氧气中燃烧的方法?
【答】Na在氧气中缓慢氧化生成Na2O和Na2O2,如果钠直接燃烧生成过Na2O2而不是氧化钠,制取纯净的氧化钠条件不好控制 。Na与NaNO2反应除生成氧化钠外还可以生成氮气N2,N2可以保护钠不会在空气中被氧化 。
25.接触法制硫酸时,由沸腾炉排出的气体必须经过洗涤其目的是什么?
【答】沸腾炉中主要是二硫化亚铁这种硫铁矿石的燃烧,因为矿石纯度不是很高,燃烧后生成的杂质会很多,而这些杂质有可能会使催化剂五氧化二钒中毒(或失效),一方面催化剂的价格贵,另一方面不利于接触室合成三氧化硫,故为了合成顺利和节省成本,要对沸腾炉出来的气体进行除杂处理 。
26.乙炔的制取实验中,为什么将水改用饱和食盐水就不会与碳化钙剧烈反应?
【答】食盐水中食盐电离出的Na+和Cl-占据一定空间,它们的存在可以减少水与电石(碳化钙)的接触面积,从而减缓水与电石(CaC2)的反应,防止因反应速度太快而生成大量的泡沫 。
27.洗涤沉淀选用的试剂有什么要求吗?
【答】沉淀洗涤的试剂有以下几种:①蒸馏水;②冷水、热水;③有机溶剂,如酒精、丙酮、酒精水溶液等;④该物质的饱和溶液 。一般经常用的洗涤剂是蒸馏水,如果用其他的洗涤剂,必有其“独特”之处 。用冷水适用范围是产物不溶于水,目的是除去晶体表面附着的杂质,可适当降低晶体因为溶解而造成损失 。有特殊的物质其溶解度随温度升高而下降的,可以采用热蒸馏水洗涤 。用酒精等有机溶剂洗涤的适用范围是晶体易溶于水,难溶于酒精,其好处常见有:可以降低晶体因溶解而造成损失,可以除去表面的可溶性杂质和水分;酒精易挥发,晶体易于干燥 。用酒精的水溶液洗涤的适用范围是晶体在水中能微溶(或不溶),难溶于酒精,目的是洗去晶体表面的杂质离子,减少晶体的溶解损失,同时可以加快固体的干燥 。滤液洗涤的适用范围是常用于晶体的转移,过滤时冲洗烧杯内壁上残留的晶体 。用该物质的饱和溶液洗涤晶体可以使因为晶体溶解造成的损失降到最低,若是易水解的物质晶体洗涤也可以使用加入抑制水解的物质进行洗涤 。
28.正丁醇与溴化氢制取正溴丁烷的实验中,各步洗涤的目的是什么?
【答】先用稀硫酸洗涤:除去未反应的正丁醇及副产物1-丁烯和正丁醚 。第一次蒸馏水洗涤:除去部分硫酸及水溶性杂质 。碱液 (Na2CO3) 洗滴:中和残余的硫酸 。第二次蒸馏水洗涤:除去残留的碱、硫酸盐及水溶性杂质 。
29.萃取和洗涤有什么区别?
【答】萃取是从混合物中抽取所需要的物质;洗涤是将混合物中所不需要的物质除掉 。萃取和洗涤均是利用物质在不同溶剂中的溶解度不同来进行分离操作,二者在原理上是相同的,只是目的不同 。从混合物中提取的物质,如果是我们所需要的,这种操作叫萃取;如果不是我们所需要的,这种操作叫洗涤 。
30.蒸馏时加热的快慢,对实验结果有何影响?为什么?
【答】蒸馏时加热过猛,火焰太大,易造成蒸馏瓶局部过热现象,使实验数据不准确,而且馏份纯度也不高 。加热太慢,蒸气达不到支口处,不仅蒸馏进行得太慢,而且因温度计水银球不能被蒸气包围或瞬间蒸气中断,使得温度计的读数不规则,读数偏低 。
31.用磷酸做脱水剂比用浓硫酸做脱水剂有什么优点?
【答】①磷酸的氧化性小于浓硫酸,不易使反应物炭化;②无刺激性气体SO2放出 。
32.从溶液中得到溶质晶体有哪些方法?
【答】若溶质为加热易分解的(如铵盐NH4HCO3)、易被氧化的(Na2SO3)、易水解的(FeCl3、AlCl3等)或欲得到结晶水合物时,必须采用蒸发浓缩、冷却结晶、过滤、洗涤、干燥的方法 。易水解的盐还要采取措施抑制水解;若溶质受热不易分解,不易水解,不易被氧化(NaCl),则可以采用蒸发结晶、过滤、洗涤、干燥的方法 。
33.化学平衡体系,温度改变或压强改变时,应该注意什么问题?
【答】温度的改变可能会使物质的状态发生变化,导致反应前后气体的分子数发生改变,平衡移向有可能发生改变,若温度过高,有可能副反应发生 。压强的改变可能也会使物质的状态发生变化,导致反应前后气体的分子数发生改变,平衡移向也有可能发生改变 。
34.向BaCl2溶液中通入SO2 气体无沉淀产生,有什么措施能产生沉淀?
【答】弱酸不能制备强酸,所以无沉淀产生 。若要得到BaSO4沉淀可加入氧化性物质,如Cl2 、HNO3、NO2 、O2、O3、H2O2等;若要得到BaSO3沉淀可加入碱性物质,如NH3 、NaOH溶液、氨水等,若要得到S黄色沉淀,可以通入还原性H2S气体 。
35.用排空气法收集气体时,需要盖上毛玻璃片或塞上一团疏松的棉花?
【答】目的是减少空气与气体的对流,增大气体的纯度 。
36.为什么在氯碱工业中,电解饱和食盐水时常用盐酸控制阳极区溶液的pH在2~3?
【答】阳极产生的氯气与水发生反应Cl2+H2O HCl+HClO,增大溶液中盐酸的浓度能够使平衡逆向移动,减少氯气在水中的溶解,有利于氯气的逸出 。
37. 适当升温氮气和氢气合成氨的速率加快,但是温度过高为什么反应速率反而下降?
【答】温度升高能够加快合成氨反应的反应速率,温度过高会使催化剂活性降低或失去活性,所以反应速率反而降低 。工业上N2和H2反应的催化剂采用以铁为主的催化剂,它在500度时的活性最高 。
38. 在燃料电池中,为什么常在电极表面镀上铂粉?
【答】增大电极单位面积吸收气体的分子数,加快原电池电极反应的速率 。
39.如何检验淀粉水解(催化剂是稀硫酸)的产物葡萄糖?
【答】取少许水解液置于试管中,分成两份,一份滴加碘水,发现变蓝色,说明有淀粉存在;另一份中加NaOH溶液使溶液呈碱性,再加入新制的氢氧化铜悬浊液加热(或银氨溶液水浴加热),若产生砖红色沉淀(或产生光亮的银镜,则证明水解产物中有葡萄糖 。
40.如何检验氢气还原氧化铜实验中所得的红色产物中是否含有Cu2O?
【答】取少许试样置于试管中,加足量的稀硫酸,充分振荡后观察,若溶液呈蓝色,则证明试样中含有Cu2O,反之则不含Cu2O 。(Cu2O+2H+=Cu2++Cu+H2O)
41.含有酚酞的氢氧化钠溶液中滴加氯水后红色褪去的原因是什么?
【答】红色褪去有两种可能,第一种是氯水中的成分与NaOH反应消耗了NaOH,使溶液的碱性减弱所致;第二中可能是氯水中的次氯酸氧化酚酞,使酚酞变质所致 。因此可以通过如下实验验证:向褪色后的的溶液中滴加过量氢氧化钠溶液,若溶液变红色则第一种情况正确,若溶液不变红则说明酚酞已经变质,第二种情况正确 。
42.电解精炼铜的CuSO4溶液为什么常用硫酸酸化?
【答】电解过程中伴随着电能转化为化学能,同时也会产生热能,温度升高,促进Cu2+水解,为了抑制Cu2+的水解,防止阳极附近Cu2+水解产生Cu(OH)2沉淀,为了增强Cu2+的浓度,便于阴极析出Cu,所以常加入稀硫酸,同时也能增强电解液的导电性 。
43.Fe2+与ClO-离子不能共存,为什么其书写的离子方程式会不一样?
【答】还原性较强的Fe2+容易被氧化性较强的ClO-离子氧化而不能共存,但不同的酸碱性溶液反应产物有所不同,有关反应的离子方程式如下:在强酸性溶液中,2Fe2++ClO-+2H+=2Fe3++Cl-+H2O
在中性或弱酸性溶液中, 6Fe2++3ClO+3H2O=2Fe(OH)3↓+4Fe3++3Cl-
或2Fe2++ClO-+5H2O=Cl-+4H++2Fe(OH)3↓,
在碱性溶液中,2Fe2++ClO-+4OH-+H2O =2Fe(OH)3↓+Cl-
44.为什么Co(OH)2在空气中加热时,随温度的变化得到固体依次为Co2O3、Co3O4、CoO?
【答】在空气中加热分解Co(OH)2,290℃时Co(OH)2完全脱水,Co2+会被空气中的氧气氧化到最高价态,从而生成高价态Co2O3 。温度升高至500℃时,高价态Co2O3部分分解出氧气生成Co3O4,温度再升高至1000℃时,Co3O4再分解出氧气生成CoO 。
45.为什么Fe(OH)3在隔绝空气中加强热时,随温度的变化得到的产物会不一样?
【答】Fe(OH)3加热分解成氧化铁和水,1500度以上Fe2O3在高温下分解为Fe3O4和氧气,2200度左右Fe3O4分解为FeO和氧气,3400度FeO最终分解为Fe和氧气 。
46.硼酸H3BO3为什么是一种一元弱酸?
【答】硼酸是一种缺电子化合物,它与水作用时可通过配位键结合生成一水合硼酸B(OH)3·H2O,然后B(OH)3·H2O电离产生少量H+和[B(OH)4]-,前者水合是化学变化,可用化学方程式表示,后者属于电离,常见的写法为H3BO3+H2O=H++[B(OH)4]-,可见硼酸与水作用时,结合水电离的OH-而释放出水电离的H+,这与氨气溶于水显弱碱性相类似,先水合后电离:NH3+H2O= NH4++OH- 。Al(OH)3的酸式电离与硼酸电离相似:Al(OH)3+H2O =H++[Al(OH)4]- 。所以H3BO3以及Al(OH)3当作酸时都是一元弱酸 。注意上述变化过程不是水解,因为虽然破坏了水的电离,但没有弱电解质生成 。
47.为什么要用蓝色钴玻璃观察钾的焰色?
【答】多种金属或它们的化合物灼烧时,使火焰呈特殊的颜色,可以用它们的单质或化合物,固、液态等进行实验 。钾的颜色为紫色,由光的互补色原理可知,黄色与蓝色互补,即用蓝色钴玻璃可将黄色滤去,这样就便于观察钾的焰色了 。光的互补色都被吸收时呈黑色,当七色光都反射时呈白色 。
48.在碱金属密度的递变的顺序中,钾为什么显得特别?
【答】在碱金属元素中,随着原子序数的增加,碱金属的密度一般是增大的,这是因为随着原子序数的增加,相对原子质量的增加所起的作用超过了(或者抵消了)原子半径(或原子体积)增大的作用 。但有一个;例外,从Na到K出现了“反差”现象 。理由是由于从Na到K的相对原子质量增大所起的作用小于体积增大所起的作用,因此,K的密度比Na反而小 。
49.氯化铜溶液的颜色为什么随着溶质的浓度不同而有变化?
【答】CuCl2在水溶液中电离出 Cu2+ 和Cl-, Cu2+ 在水溶液可跟Cl-,H2O形成配合物离子[Cu(H2O)4]2+和[CuCl4]2-,其中[Cu(H2O)4]2+是蓝色的,而[CuCl4]2-是黄色的,当CuCl2浓度大时,溶液中的Cl-浓度大,因而[CuCl4]2-离子浓度大,溶液颜色就靠近黄色而呈黄绿色,当CuCl2浓度小时,溶液中[Cu(H2O)4]2+浓度相对大,因此溶液就呈蓝色,在中等浓度的氯化铜溶液中,[Cu(H2O)4]2+与[CuCl4]2-浓度相当,溶液就呈现黄色和蓝色的复合色———绿色 。
50.制备Fe(OH)3胶体的时候,为什么用FeCl3而不用Fe2(SO4)3 ?
【答】为了获得较大颗粒的Fe(OH)3胶体,人们通常是把FeCl3加到沸水中煮沸,而不用Fe2(SO4)3,其原因在于这二者的水解产物的区别,HCl是易挥发的,而H2SO4却不然,这样用FeCl3制备Fe(OH)3胶体就可以因为HCl的挥发而时水解更有利于进行,从而可以制备得较大颗粒的胶体 。
等一个一键三连~
【化学经典例题高一,高中化学:50例化学疑难问题详解,考试别再丢分啦】您的支持是小编不断更新的动力!
推荐阅读
- 梦见别人家有鱼是什么意思
- 杨梅需要放冰箱保鲜吗
- 梦见公鸡说话是什么意思
- 护理新生儿宝宝的小知识,母婴护理育儿知识大全,这些你都了解吗?
- 在家怎样做黄酒
- 梦见狗变猫是什么意思
- 记叙文的思想内容,阅读技巧一一归纳中心思想
- 压轴是倒数第几个节目
- 山竹的保鲜方法
