
文章插图
信息信息是用来消除随机不确定性的东西 。也就是说 , 衡量信息量的大小就看这个信息消除不确定性的程度 。克劳德.香农(ClaudeShannon)被称为“信息论之父” 。他一生中也许是最有名的一篇论文:《通讯的数学理论》(Amathematicaltheoryofcommunications,1948) , 引入
信息信息是用来消除随机不确定性的东西 。也就是说 , 衡量信息量的大小就看这个网信息消除不确定性的程度 。
【什么是信息量?信息熵又是什么? 什么是信息】

文章插图
克劳德.香农(Claude Shannon)被称为“信息论之父” 。他一生中也许是最有名的一篇论文:《通讯的数学理论》(A mathematical theory of communications,1948) , 引入了一条全新的思路 , 震撼了整个科学技术界 , 开启了现代信息论研究的先河 。在这一伟大的贡献中 , 他引进的“信息熵”之一般概念举足轻重:它在数学上量化了通讯过程中“信息漏失”的统计本质 , 具有划时代的意义 。
信息量信息量的大小和事件发生的概率成反比 。
信息量的表示:

文章插图
x 表示一个发生的事件;
p 表示这个事件发生的先验概率;先验概率指这个事件按照常理 , 按照一般性规律发生的概率 。
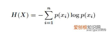
信息熵可以认为是信息的杂乱程度的量化描述 。
信息熵公式如下:

文章插图
其中 , x 可以当成一个向量 , 就是若干个 x 产生的概率p(x)乘以该可能性的信息量-logp(x) , 然后各项做加和 。
信息量度量的是一个具体事件发生所带来的信息 , 而熵则是在结果出来之前对可能产生的信息量的期望—考虑该随机变量的所有可能取值 , 即所有可能发生事件所带来的信息量的期望 。
信息熵还可以作为一个系统复杂程度的度量 , 如果系统越复杂 , 出现不同情况的种类越多 , 那么他的信息熵是比较大的 。
如果一个系统越简单 , 出现情况种类很少(极端情况为1种情况 , 那么对应概率为1 , 那么对应的信息熵为网0) , 此时的信息熵较小 。
小结网
在信息可能有N种情况时 , 如果每种情况出现的概率相等 , 那么N越大 , 信息熵越大 。
在信息可能有N种情况时 , 当N一定 , 那么其中所有概率相等时 , 信息熵是最大的 。
简而言之 ,
信息越确定 , 越单一 , 信息熵越小;
信息越不确定 , 越混乱 , 信息熵越大 。

文章插图
推荐阅读
- 鸟家冲锋衣 鸟家是什么牌子的衣服
- 血雨腥风是什么意思 迎刃而解是什么意思
- 驾驶证制作需要多久 驾驶证邮寄怎么看物流
- 好先生陆远最后和谁在一起了 好先生结局是什么
- 长沙地铁时间表 长沙地铁几点停运
- 怎么判断猫要不要驱虫 猫体内驱虫用什么药
- wise、clever、smart的区别 clever是什么意思
- 流年笑掷 未来可期上一句是什么
- 话费账单,你是否看懂了? 增值业务费是什么
