
文章插图
图12:One-Class SVM
One-Class SVM又一种推导方式是SVDD(Support Vector Domain Description,支持向量域描述),对于SVDD来说,我们期望所有不是异常的样本都是正类别,同时它采用一个超球体,而不是一个超平面来做划分,该算法在特征空间中获得数据周围的球形边界,期望最小化这个超球体的体积,从而最小化异常点数据的影响 。
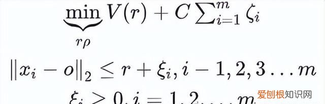
假设产生的超球体参数为中心 o 和对应的超球体半径r>0,超球体体积V(r)被最小化,中心o是支持行了的线性组合;跟传统SVM方法相似,可以要求所有训练数据点xi到中心的距离严格小于r 。但是同时构造一个惩罚系数为C的松弛变量 ζi,优化问题入下所示:

文章插图
C是调节松弛变量的影响大小,说的通俗一点就是,给那些需要松弛的数据点多少松弛空间,如果C比较小,会给离群点较大的弹性,使得它们可以不被包含进超球体 。详细推导过程参考资料[15] [16] 。
from sklearn import svm# fit the modelclf = svm.OneClassSVM(nu=0.1, kernel='rbf', gamma=0.1)clf.fit(X)y_pred = clf.predict(X)n_error_outlier = y_pred[y_pred == -1].size八、基于预测的方法
[17] 【TS技术课堂】时间序列异常检测 - 时序人,文章:***/s/9TimTB_ccPsme2MNPuy6uA
对于单条时序数据,根据其预测出来的时序曲线和真实的数据相比,求出每个点的残差,并对残差序列建模,利用KSigma或者分位数等方法便可以进行异常检测 。具体的流程如下:

文章插图
图13:基于预测的方法
九、总结
异常检测方法总结如下:

文章插图
推荐阅读
- 考研性价比高的专业,适合考研的专业有哪些
- 要如何看电脑型号,怎么才能知道自己电脑的型号?
- vcf文件要怎么转换成excel
- 韩国人为什么喜欢上吊 为什么自杀的人喜欢上吊
- 安卓手机怎么截图,安卓手机如何截屏
- 为什么自杀的人不顾亲人的感受
- 公主为什么自称哀家 为什么自称哀家
- 坎普为什么被称为雨人 为什么周伟被称为中国雨人
- 周鹏为什么能当队长 为什么周鹏是队长
