5. 纯几何方法
这个问题里有一点是确定的,即小圆的周长是大圆的1/3 。小圆在大圆上滚过2r的长度即1/3大圆的周长,滚到了如下图所示的位置,此时小圆绕着自己的圆心转了360+120=480 。小圆贴着大圆滚6r的长度正好滚回原点,此时转了4803=1440 。1440360=4圈 。

文章插图
6. 心形线的长度
刚才提到,在第二种方法中,有人认为小圆上任何一点走过的长度与圆心走过的长度是一样的,真的是这样吗?
不妨再看一下类似的但更简单一点的心形线,也就是两个圆的半径一样时的情况 。在之前《隐藏在《隐秘的角落》里的错误心形线》这篇文章中,给出了心形线的极坐标方程表示 。

文章插图
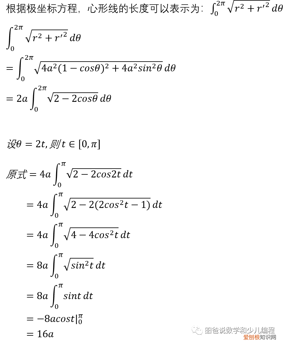
此时,由极坐标方程r=2a(1-cos)和微积分可以求得心形线的长度为16a(具体计算过程如下),而小圆圆心走的轨迹是一个半径为2a的圆,因此走的长度为4a 。也就是说,在这种滚动的问题里,圆心走过的长度和圆上任意一点走过的长度是不一样的 。

文章插图
如果你有幼儿园到初中的学龄娃,想加入数学讨论群的,可以留言并告知年级 。
【大家热议的美国数学高考题 美国高考数学题】
推荐阅读
- 春秋五霸 战国七雄你了解多少? 春秋五霸战国七雄
- 双子座最配的星座是哪个 双子座女生和什么座最配
- 上火的泄火方法 去火的方法
- 老年人秋冬腰腿疼怎么办? 老年人腰腿疼
- 南雄珠玑古巷南迁后裔姓氏大全 南雄珠玑古巷
- 电影《致青春》之结局! 电影致青春结局!
- 红血丝该怎么处理? 红血丝治疗方法
- 关于圣诞节的作文400字 圣诞节作文400字
- 需要了解的枸杞的三大副作用 枸杞子副作用
