降落伞的原理,降落伞与火箭弹的运动竟是一回事?| 曹则贤《军事物理学》( 四 )


任何一个装置 , 通过一个消耗自身质量的反方向推进系统获得加速度 , 都可以看作火箭 。古时候就有的鞭炮“窜天猴”就是火箭的原型 。自加速体系可以笼统地都归入火箭一类 , 其利用的原理一般会表述为动量守恒 , 但可以理解为两体体系的惯性问题 。不受外力的两体体系 , 

降落伞的原理,降落伞与火箭弹的运动竟是一回事?| 曹则贤《军事物理学》

文章插图
, 当一者因为爆炸、燃烧、弹出等原因获得动量增量?p时 , 另一部分必然获得动量增量-?p , 这就是反冲 。利用持续的反冲过程可以实现长时间加速从而获得高速 。

当一个物体最终被加速达到第一宇宙速度 , 7.9 km/s, 即便停止加速该物体也不再是抛体了 , 因为它不再会因为重力而落下 。若达到第二宇宙速度 , 11.2 km/s, 该物体就能飞离地球 。达到第一宇宙速度是开启航天时代的前提条件 。
齐奥尔科夫斯基 (Константи?н Эдуа?рдович Циолко?вский , 1857-1935) 于1898年完成了航天领域的经典论文《利用喷气工具研究宇宙空间》 ,  开启了利用火箭的航天时代 , 其于1903年推导得到的齐奥尔科夫斯基火箭方程(Tsiolkovsky rocket equation) 是理解火箭推进问题的学术基础 。考察一枚火箭 , 假设它离地面很远重力可忽略不计故而是一个不受外力的体系 , 在t时刻质量为m , 速度 (严格说来是速率)为V, 在下一时刻t+dt质量变为m+dm而被加速到V+dV , 原因是喷射出了相对于火箭其速度 (强调一下 , 谈论速度是要有参照物的!)为
降落伞的原理,降落伞与火箭弹的运动竟是一回事?| 曹则贤《军事物理学》

文章插图
的质量-dm, 由动量守恒得

降落伞的原理,降落伞与火箭弹的运动竟是一回事?| 曹则贤《军事物理学》

文章插图
忽略二阶小量得到方程
降落伞的原理,降落伞与火箭弹的运动竟是一回事?| 曹则贤《军事物理学》

文章插图
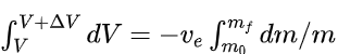
积分
降落伞的原理,降落伞与火箭弹的运动竟是一回事?| 曹则贤《军事物理学》

文章插图
 , 得

降落伞的原理,降落伞与火箭弹的运动竟是一回事?| 曹则贤《军事物理学》

文章插图
其中是
降落伞的原理,降落伞与火箭弹的运动竟是一回事?| 曹则贤《军事物理学》

文章插图
火箭的初始质量 , 
降落伞的原理,降落伞与火箭弹的运动竟是一回事?| 曹则贤《军事物理学》

文章插图
是火箭在某个推进阶段后的质量 。这就是齐奥尔科夫斯基火箭方程 。由此公式可见 , 火箭若想获得大的速度增量 , 火箭喷出的射流速度要大 , 要携带足够多的工质 ,  即
降落伞的原理,降落伞与火箭弹的运动竟是一回事?| 曹则贤《军事物理学》

文章插图
要够大 。重要的一点是 , 无用的质量要及时抛掉以获取更有效的推进 (因为

降落伞的原理,降落伞与火箭弹的运动竟是一回事?| 曹则贤《军事物理学》

文章插图
 , 

降落伞的原理,降落伞与火箭弹的运动竟是一回事?| 曹则贤《军事物理学》

文章插图
是某个阶段开始时可以抛弃的无用质量), 这就是深空探测用火箭采用多级火箭和捆绑助推火箭的策略的原因 , 前级火箭一旦燃料用尽就可以即时抛掉从而获得更有效的推进 。不过 , 火箭初始时的质量越大 , 对初级火箭推力的要求就越高 , 故而会带来更大的技术挑战 。当前最强大的运载火箭 , 其起飞重量超4000 T 。

降落伞的原理,降落伞与火箭弹的运动竟是一回事?| 曹则贤《军事物理学》

文章插图
携带捆绑式助推器的多级火箭

推荐阅读