文章插图
扩展资料:
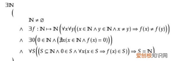
自然数严格定义:

文章插图
这个命题被称为皮亚诺算术公理,该公理声明了自然数集 N的存在性 。
其中,第二条中声明的单射 f被称为后继映射,是我们生活中所习惯的“ +1” 。
第三条则声称,存在一个数是自然数的起始点,它不是任何数的后继 。
第四条则是我们所熟知的归纳假设,它使得在自然数集中数学归纳法的成立,也是对自然数集形态的一种限定 。因为即使是有限集,也存在环形映射满足第二条(自单射),任何无限集都满足第二和第三条,而只有自然数集才能满足所有这四条的限定 。
由第四条,我们就可以使用数学归纳法:

文章插图
来证明自然数集中有关的命题 。
参考资料:百度百科-----自然数
以上就是关于最小的自然数是几的全部内容,以及最小的自然数是几的相关内容,希望能够帮到您 。
推荐阅读
- 请问哪部小说好看,什么小说比较好看
- 什么人不适合学美容,做美容师好吗
- 个人工厂环保罚款标准,厂里查环保一般是几天
- 硅胶枕头怎么清洗,乳胶枕可以用什么代替
- 钟南山:相信11月能有效控制疫情
- 支持无线充电的手机都有哪些,现在支持无线充电的手机有哪些
- 市场营销的核心是什么? 什么是市场营销
- 北京双眼皮手术哪里好,北京做双眼皮手术哪里好
- 完美刺客怎么加点,mu刺客怎么加点
